Предмет: Алгебра, автор: zabavatola

Даю 100 баллов за решение уровнений по ВЫШ МАТУ. Прошу помощи
Желательно решить 3-4 задания 3 задания - 4 звезды , за решение 1-2 Спасибо

Приложения:

Ответы

Автор ответа: NNNLLL54
1

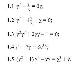
1)\; \; y'-\frac{y}{x}=3x\\\\y=uv\; \; ,\; \; y'=u'v+uv'\\\\u'v+uv'-\frac{uv}{x}=3x\\\\u'v+u\cdot (v'-\frac{v}{x})=3x\\\\a)\; \; v'-\frac{v}{x}=0\; \; ,\; \; \frac{dv}{dx}=\frac{v}{x}\; \; ,\; \; \int \frac{dv}{v}=\int \frac{dx}{x}\; \; ,\; \; ln|v|=ln|x|\; \; ,\; \; v=x\\\\b)\; \; u'v=3x\; \; ,\; \; \frac{du}{dx}\cdot x=3x\; \; ,\; \; \int du=\int 3\, dx\; ,\; \; u=3x+C\\\\c)\; \; y=uv=x\cdot (3x+C)

2)\; \; y'+4\cdot \frac{y}{x}+x=0\\\\y=uv\; \; ,\; \; y'=u'v+uv'\\\\u'v+uv'+4\cdot \frac{uv}{x}=-x\\\\u'v+u\cdot (v'+\frac{4v}{x})=-x\\\\a)\; \; v'+\frac{4v}{x}=0\; \; ,\; \; \int \frac{dv}{v}=-\int \frac{4\, dx}{x}\; \; ,\; \; ln|v|=-4\, ln|x|\; \; ,\; \; v=x^{-4}=\frac{1}{x^4}\\\\b)\; \; u'v=-x\; \; ,\; \; \frac{du}{dx}\cdot \frac{1}{x^{4}}=-x\; \; ,\; \; \int du=\int x^5\, dx\; \; ,\; \; u=\frac{x^6}{6}+C\\\\c)\; \; y=\frac{1}{x^4}\cdot (\frac{x^6}{6}+C)

3)\; \; x^2y'+2xy-1=0\; \; \to \qquad y'+\frac{2y}{x}=\frac{1}{x^2}\\\\y=uv\; \; ,\; \; y'=u'v+uv'\\\\u'v+uv'+\frac{2uv}{x}=\frac{1}{x^2}\\\\u'v+u\cdot (v'+\frac{2v}{x})=\frac{1}{x^2}\\\\a)\; \; \frac{dv}{v}=-\frac{2v}{x}\; \; ,\; \; \int \frac{dv}{v}=-2\int \frac{dx}{x}\; \; ,\; \; ln|v|=-2\, ln|x|\; \; ,\; \; v=x^{-2}=\frac{1}{x^2}\\\\b)\; \; \frac{du}{dx}\cdot \frac{1}{x^2}=\frac{1}{x^2}\; \; ,\; \; \int du=\int dx\; \; ,\; \; u=x+C\\\\c)\; \; y=\frac{1}{x^2}\cdot (x+C)

4)\; \; y'-7y=8e^{3x}\\\\y=uv\; \; ,\; \; y'=u'v+uv'\\\\u'v+uv'-7uv=8e^{3x}\\\\u'v+u\cdot (v'-7v)=8e^{3x}\\\\a)\; \; \frac{dv}{dx}=7\, v\; \; ,\; \; \int \frac{dv}{v}=7\int dx\; \; ,\; \; ln|v|=7x\; \; ,\; \; v=e^{7x}\\\\b)\; \; \frac{du}{dx}\cdot e^{7x}=8\, e^{3x}\; \; ,\; \; \int du=\int 8\, e^{-4x}\; \; ,\; \; u=8\cdot \frac{1}{-4}\cdot e^{-4x}+C=-2\, e^{-4x}+C\\\\c)\; \; y=e^{7x}\cdot (-2\, e^{-4x}+C)=-2e^{3x}+Ce^{7x}

5)\; \; (x^2+1)y'-xy=x^3+x\; \; \to \; \; \; \; y'-\frac{x}{x^2+1}\cdot y=\frac{x^3+x}{x^2+1}\\\\y=uv\; \; ,\; \; y'=u'v+uv'\\\\u'v+uv'-\frac{x}{x^2+1}\cdot uv=\frac{x(x^2+1)}{x^2+1}\\\\u'v+u\cdot (v'-\frac{x}{x^2+1}\cdot v)=x\\\\a)\; \; \frac{dv}{dx}=\frac{x}{x^2+1}\cdot v\; \; ,\; \; \int \frac{dv}{v}=\frac{1}{2}\int \frac{2x\, dx}{x^2+1}\; \; ,\; \; ln|v|=\frac{1}{2}\cdot ln(x^2+1)\; \; ,\; \; v=\sqrt{x^2+1}

b)\; \; \frac{du}{dx}\cdot \sqrt{x^2+1}=x\; \; ,\; \; \int du=\frac{1}{2}\int \frac{2x\, dx}{\sqrt{x^2+1}}\; \; ,\; \; u=\frac{1}{2}\cdot 2 \sqrt{x^2+1}+C=\sqrt{x^2+1}+C\\\\c)\; \; y=\sqrt{x^2+1}\cdot (\sqrt{x^2+1}+C)\\\\y=x^2+1+C\sqrt{x^2+1}

Похожие вопросы
Предмет: Химия, автор: Аноним