Предмет: Алгебра, автор: vadimarefev

Очень срочно!По идее 20 баллов

Приложения:

Ответы

Автор ответа: Gutsalenko
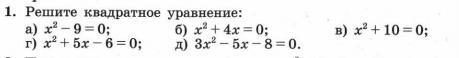
1

Ответ:номер 1

1)x=-3,x=3

2)x=-4,x=0

3)нет корней

4)x=-6,x=1

5)x=-1,x=\frac{8}{3\\}

номер 5

1)x=2,x=5

2)x=3,x=12

Объяснение:


vadimarefev: Можно решение второго пожалуйста?
Автор ответа: julia201620202016
1

Попшршршрщрщлрлршршрш

Приложения:

vadimarefev: Спасибо огромное
Похожие вопросы
Предмет: Русский язык, автор: Аноним

1. Из приведенного ниже предложения выпишите подчинительное словосочетание со связью ПРИМЫКАНИЕ. 

Впервые я попал в Мещёрский край с севера, из Владимира.

2. Из приведенного ниже предложения выпишите подчинительное словосочетание со связью СОГЛАСОВАНИЕ.

На станции Пилево в вагон влез косматый дед.

3. Из приведенного ниже предложения выпишите подчинительное словосочетание со связью УПРАВЛЕНИЕ. 

Это признак будущей ясной погоды.

4. Из приведенного ниже предложения выпишите подчинительное словосочетание со связью УПРАВЛЕНИЕ.

Серое небо низко провисало над головой.

5. Из приведенного ниже предложения выпишите подчинительное словосочетание со связью ПРИМЫКАНИЕ.

Туземцы всегда объясняли дорогу со страстью, с неистовым увлечением.

6. Из приведённого ниже предложения выпишите подчинительное словосочетание со связью СОГЛАСОВАНИЕ.

Приметы связаны со всем: с цветом неба, с росой и туманами, с криком птиц и яркостью звёздного света.

7. Из приведенного ниже предложения выпишите подчинительное словосочетание со связью УПРАВЛЕНИЕ.

Реки и озера мертвеют, как будто из них навсегда ушла жизнь.

8. Из приведенного ниже предложения выпишите подчинительное словосочетание со связью СОГЛАСОВАНИЕ.

Изучение незнакомого края всегда начинается с карты.

9. Из приведенного ниже предложения выпишите подчинительное словосочетание со связью ПРИМЫКАНИЕ.

Как-то в конце сентября мы шли мшарами к Поганому озеру.

10. Из приведенного ниже предложения выпишите подчинительное словосочетание со связью СОГЛАСОВАНИЕ.

Всю ночь шумел по палатке дождь.
Предмет: Математика, автор: jekonya1