Предмет: Химия,
автор: denissokolov862
СРОЧНО!!!
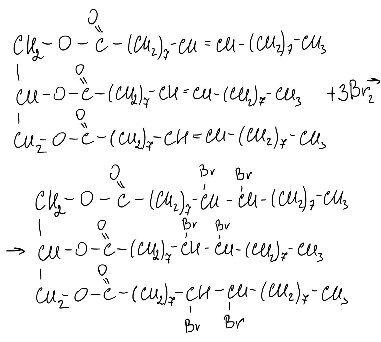
В одну пробирку налейте 1-2 см3 подсолнечного масла, во вторую поместите курочек твердого животного жира и нагрейте ее до расплавления жира. К содержимому каждой пробирки добавьте немного бромной воды и встряхните смеси. Составьте уравнение реакции.
Ответы
Автор ответа:
3
Бромная вода обесцветится в случае с растительным маслом, а со сливочным реакции не будет. Это объясняется тем, что растительные жиры - ненасыщенные, то есть в "хвостах" жирных кислот содержатся двойные связи, которые и окисляются бромной водой. Животные жиры - насыщенные, кратных связей там нет и бромной воде нечего окислять.
Реакция на фото...
Приложения:
Похожие вопросы
Предмет: Английский язык,
автор: Galiycha
Предмет: Русский язык,
автор: 129826077
Предмет: Русский язык,
автор: шамсик
Предмет: Математика,
автор: KARALEVA01
Предмет: Математика,
автор: Ama951