Предмет: Алгебра,
автор: mercovskie
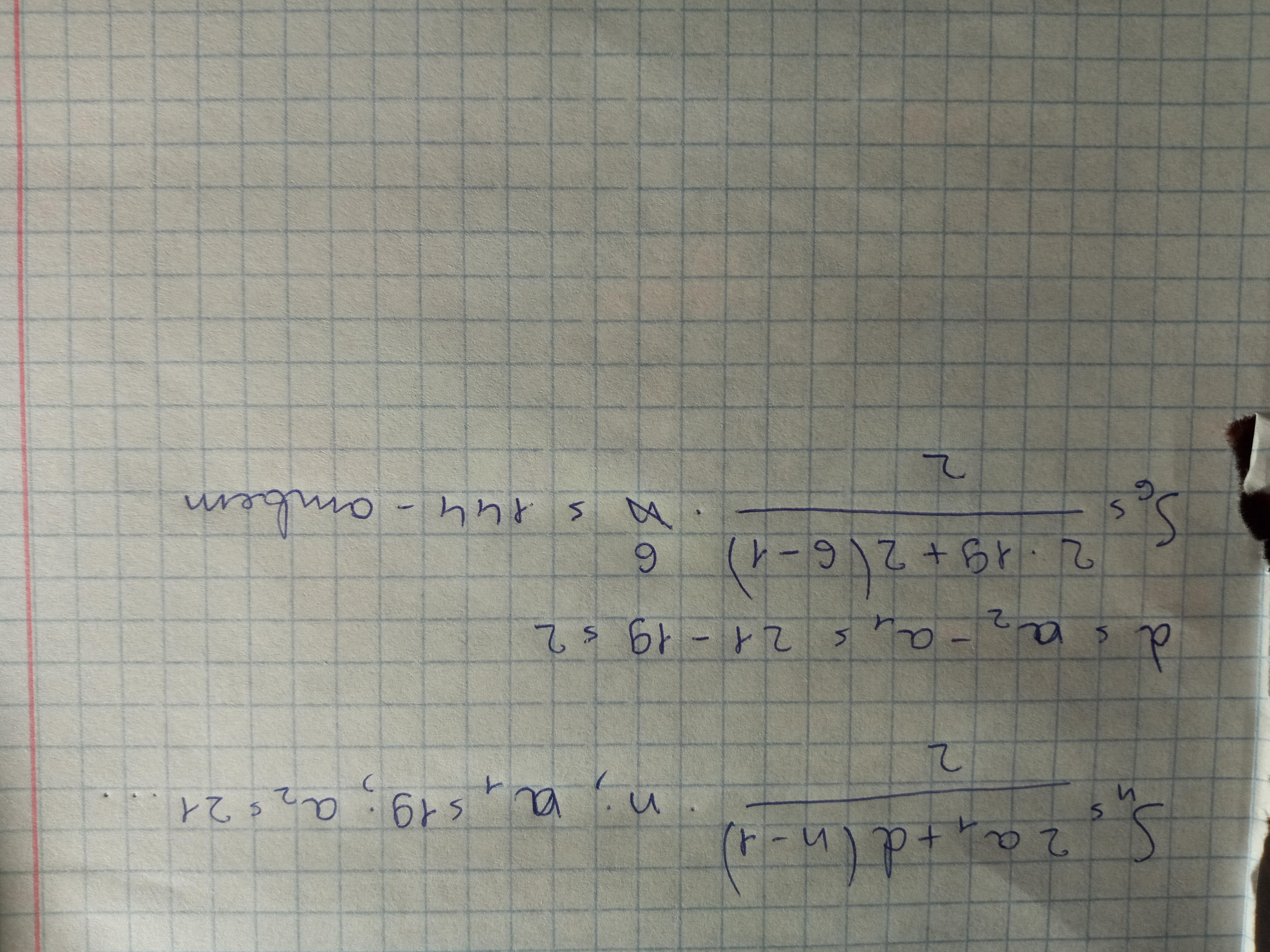
Дана арифметическая прогрессия: 19; 21; 23... Найди сумму её первых шести членов.
Ответы
Автор ответа:
0
Формулы по которым я нашла конечный результат написала на листке. Надеюсь помогла с решением
Приложения:
Похожие вопросы
Предмет: Русский язык,
автор: rabbitgirl
Предмет: Русский язык,
автор: Po4emu4ka22
Предмет: Русский язык,
автор: frunze7111
Предмет: Математика,
автор: sergejbaev03