Предмет: Математика, автор: слвоапмр

помогите решить срочно!!!​

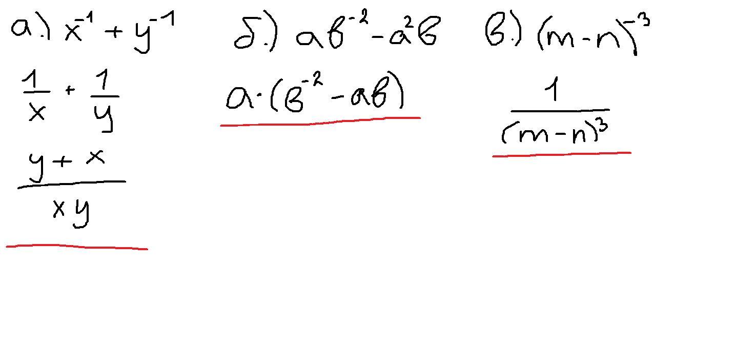
Приложения:

Ответы

Автор ответа: annamiron4
1

Ответ:

Ответ в файле

Пошаговое объяснение:

Решение в файле

Приложения:
Похожие вопросы
Предмет: Английский язык, автор: Снежанка123
Answer the questions. 1) What is the New World? 2) Why is the USA a country of immigrants? 3) From what continents do immigrants come to the USA? 4) What do immigrants bring with them? 5) Do Americans celebrate only new holidays and festivals? б) Who put the first man on the moon? 7) Are many Americans patriots? Why do you think so? 

The New World
a) The United States is a young country. It is only a few hundred years old. Millions of people from other countries and continents —Europe, Asia, Africa, Australia and South America — find their new borne Ira the United states. 
b) The people of the United states are of many different nаtiоnalities. These different people brought to the new home their traditions, holidays and festivals. From Germany they brought Christmas trees. From Ireland they brought St. Patrick's Day celebrations. From scotland they brought Halloween. Americans celebrate the festivals of the Old World. But there are new American festivals and traditions too. c) Americans like new ideas. They built the first skyscrapers and they- put the first man on the moon. They like to be modern. They enjoy big modern cities, new houses and new cars. At the same time Americans love old things. They like to visit historic houses and museums. They remember their country's history and the days of the "Wild West", Most of them are very proud of their country and love it.

вот перевод

Ответьте на вопросы. 1), Каков Новый Мир? 2), Почему США - страна иммигрантов? 3) Из того, что континенты иммигранты прибывают в США? 4), Что иммигранты приносят с ними? 5) американцы празднуют только новый отпуск и фестивали? б), Кто помещал первого человека в луну? 7) много американских патриотов? Почему Вы думаете так?

Новый Мира) США является молодой страной. Это всего лишь несколько сотен лет. Миллионы людей из других стран и континентов: Европы, Азии, Африки, Австралии и Южной Америки - найти свою новую происхождения Ира Соединенных Штатов.б) народ Соединенных Штатов много различных nаtiоnalities. Эти разные люди доведены до нового дома свои традиции, праздники и фестивали. Из Германии привезли елки. Из Ирландии они принесли празднования Дня святого Патрика. Из Шотландии они принесли Хэллоуина. Американцы празднуют фестивалей Старого Света. Но есть и новые американские праздники и традиции тоже. в) американцы любят новые идеи. Они построили первые небоскребы, и они-поставить первый человек на Луне. Они любят быть современным. Они имеют большие современные города, новые дома и новые автомобили. В то же время американцы любят старые вещи. Они любят, чтобы посетить исторические здания и музеи. Они помнят историю своей страны и дни "Дикий Запад", большинство из них очень гордятся своей страной и любить его.
я по переводчику