Предмет: Алгебра,
автор: vovakrutoy88
Помогите с алгеброй!
Фото прикрепил ниже
Приложения:
Ответы
Автор ответа:
0
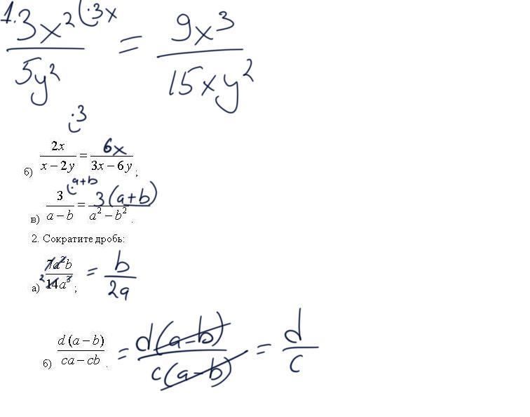
Там все есть.
В первом номере нам нужно определить на какое число было домножен знаменатель и на это же число домножить числитель
Во втором просто разложить на множители и вычеркнуть лишнее
Приложения:
Похожие вопросы
Предмет: Русский язык,
автор: vas2
Предмет: Қазақ тiлi,
автор: Lidiyamatveeva
Предмет: Английский язык,
автор: andrewsalikov
Предмет: Экономика,
автор: tshestov2001
Предмет: История,
автор: sparkR