Предмет: Алгебра,
автор: minovaksyushashai
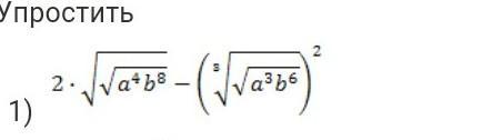
УПРОСТИТЕ ВЫРАЖЕНИЕ
Приложения:
Ответы
Автор ответа:
1
Ответ:ав²
Объяснение:
Приложения:
Похожие вопросы
Предмет: Русский язык,
автор: semyailchenko
Предмет: Русский язык,
автор: semyailchenko
Предмет: Русский язык,
автор: semyailchenko
Предмет: Математика,
автор: wert2424
Предмет: История,
автор: ФфвцВ