Предмет: Математика,
автор: Аноним
помогите пожалуйста решить уровнение дай 48 баллов
Приложения:
Ответы
Автор ответа:
1
Ответ:
...............................
Приложения:
Автор ответа:
0
Пошаговое объяснение:
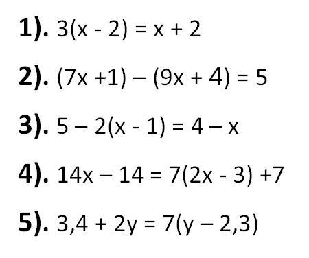
1) 3 (x-2) = x + 2
3x - 6 = x + 2
2x = 8
x = 4
2) (7x + 1) - (9x + 4) = 5
7x + 1 - 9x - 4 = 5
-2x = 8
2x = -8
x = -4
3) 5 - 2(x - 1) = 4 - x
5 - 2x + 2 = 4 - x
- x = - 3
x = 3
4) 14x - 14 = 7(2x - 3) + 7
14x - 14 = 14x - 21 + 7
x = 0
5) 3.4 + 2y = 7 (y - 2.3)
3.4 + 2y = 7y - 16.1
-5x = -19.5
x = 3.9
Похожие вопросы
Предмет: Другие предметы,
автор: Никита50922е678909
Предмет: Русский язык,
автор: madina33
Предмет: Українська мова,
автор: khorolvitalik
Предмет: Математика,
автор: ЭрикЮТУБЕР
Предмет: География,
автор: Аноним