Предмет: Алгебра,
автор: magoo
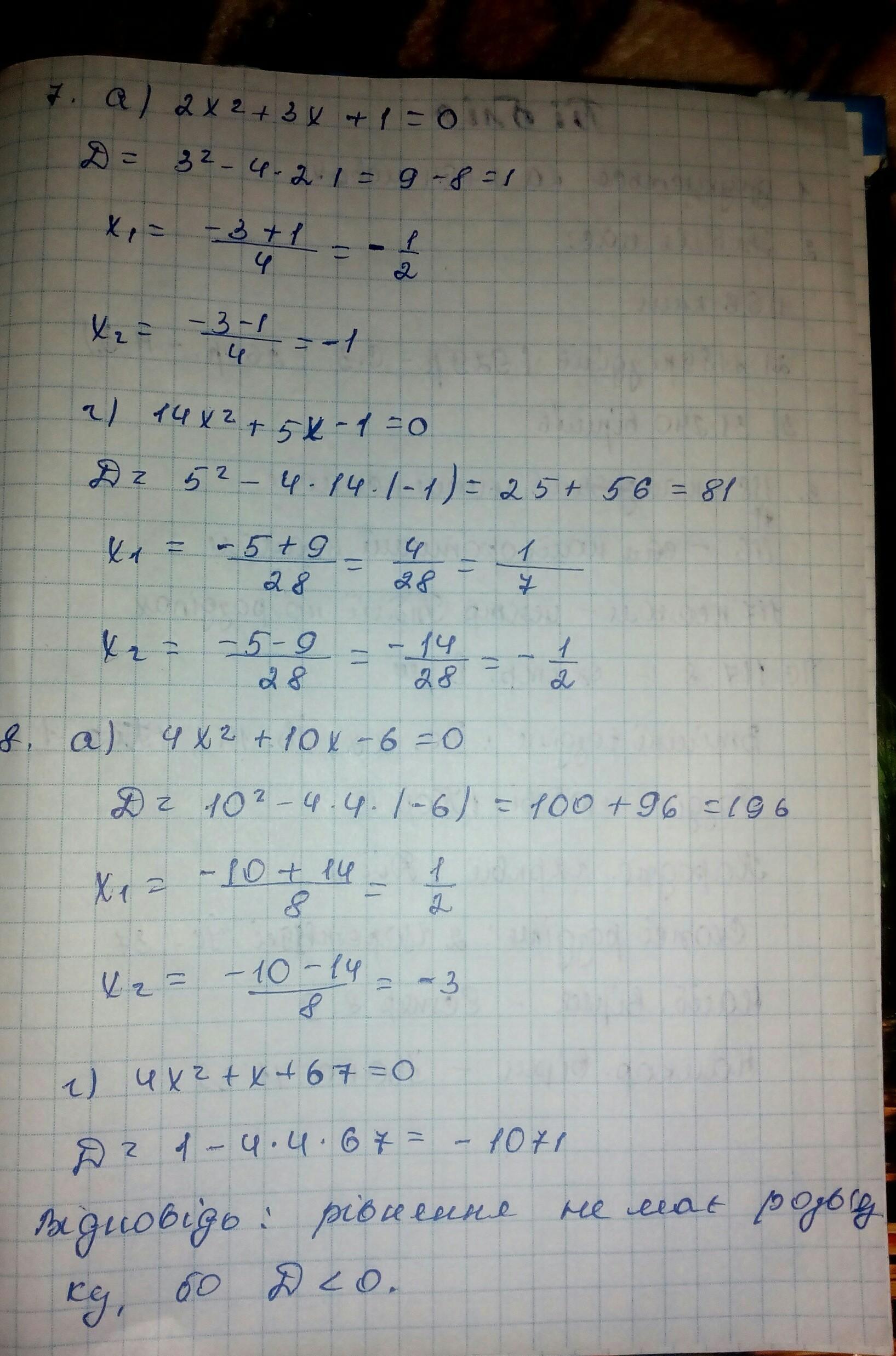
решите под а) и под г)
Приложения:
Ответы
Автор ответа:
0
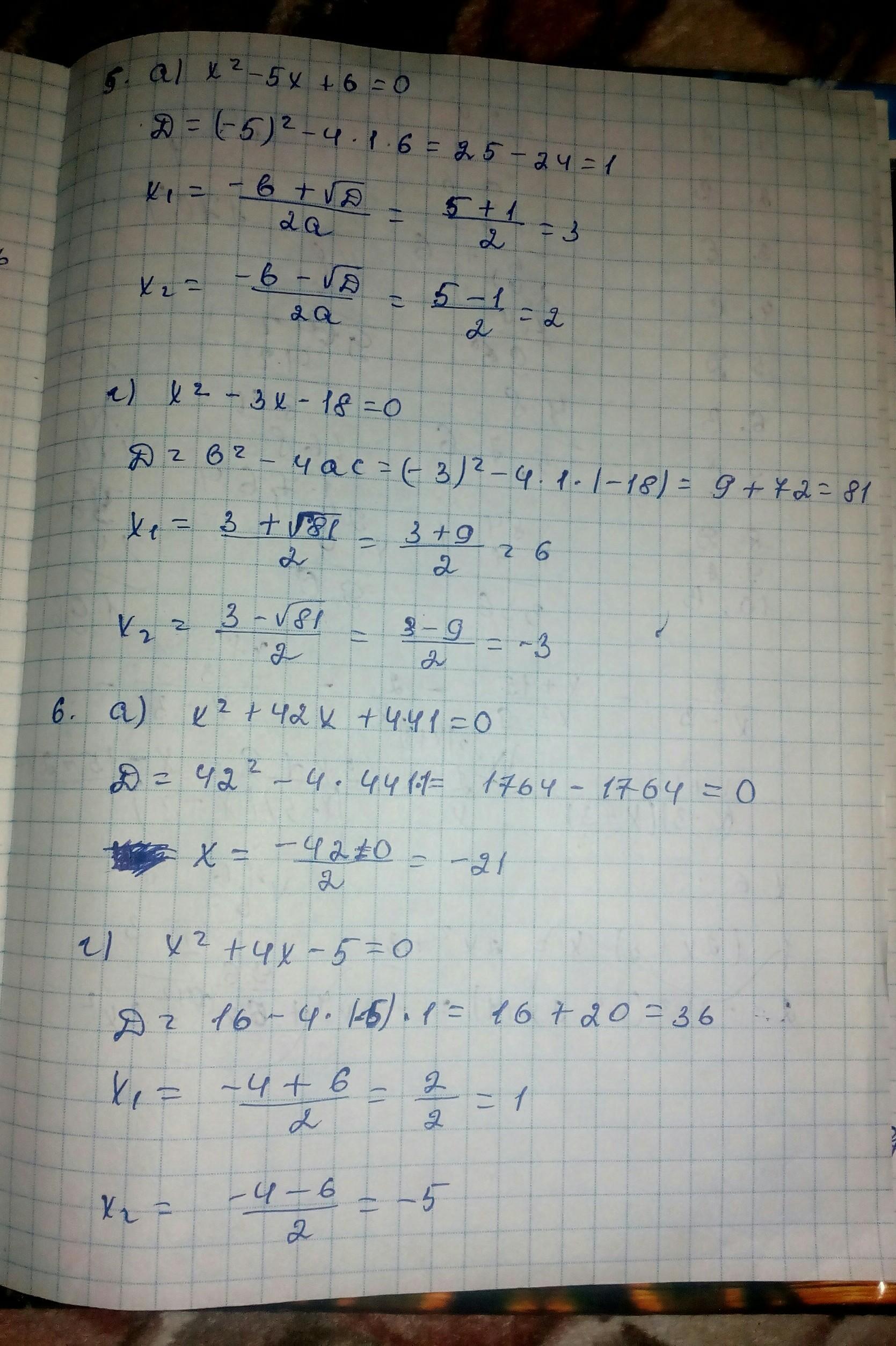
Ответ:
...................
Приложения:
Похожие вопросы
Предмет: Русский язык,
автор: temkaaaaaa
Предмет: Английский язык,
автор: polevanova
Предмет: Английский язык,
автор: polevanova
Предмет: Биология,
автор: islamfarzaliev
Предмет: Литература,
автор: dfdfdfdf223