Предмет: Математика,
автор: frontsovn
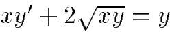
Здравствуйте! Помогите пожалуйста решить дифференциальное уравнение.
Приложения:
Ответы
Автор ответа:
1
Решение приложено...
Приложения:
Похожие вопросы
Предмет: Русский язык,
автор: M13052005
Предмет: Английский язык,
автор: NadjaRed
Предмет: Английский язык,
автор: NadjaRed
Предмет: Обществознание,
автор: elizaveta16112005el
Предмет: Математика,
автор: Max14818539519