Предмет: Алгебра,
автор: daniilkot2017lis
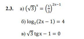
решите уравнение (с подробным решением) 50б!
Приложения:
Ответы
Автор ответа:
0
Думаю ты поймёшь, там всё просто
Приложения:
Похожие вопросы
Предмет: Английский язык,
автор: nutella15
Предмет: Беларуская мова,
автор: janaSh
Предмет: Русский язык,
автор: dzerassadzhikaeva
Предмет: Математика,
автор: algid
Предмет: Физика,
автор: ka1tAngeratyaLoL