Предмет: Математика,
автор: gorodnicevadasha26
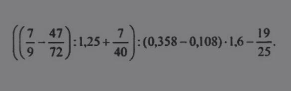
Вычислите. Пожалуйста, очень нужна помощь. Можно только ответ, но правильно
Приложения:
Ответы
Автор ответа:
1
Ответ:
((-
)/1.25+
)/(0.358-0.108)*1.6-
=1
ответ: 1 (правильный))
Похожие вопросы
Предмет: Русский язык,
автор: hapuga
Предмет: Английский язык,
автор: Shkvarkina
Предмет: Другие предметы,
автор: Аноним
Предмет: Математика,
автор: грамотей22
Предмет: Алгебра,
автор: Rogalik228