Предмет: Алгебра,
автор: kira3117
Помогите решить плииз
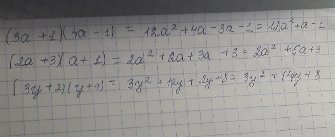
(3а+1)(4а-1)
(2а+3)(а+1)
(3у+2)(у+4)
Ответы
Автор ответа:
0
Если что непонятно спрашивайте)
Приложения:
Похожие вопросы
Предмет: Английский язык,
автор: 070709
Предмет: Русский язык,
автор: Денчик2004
Предмет: Русский язык,
автор: Денчик2004
Предмет: Геометрия,
автор: Умм
Предмет: Алгебра,
автор: MaikiCz