Предмет: Алгебра,
автор: nyblo236
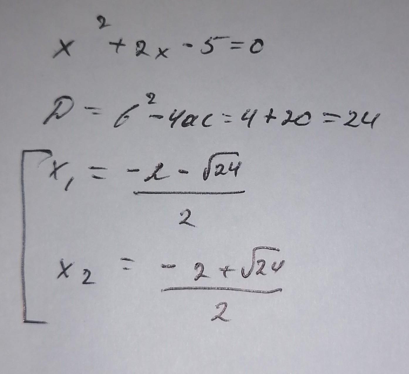
x^2+2x-5=0 нужно решить через дискриминант
Ответы
Автор ответа:
1
Ответ:
Держи.
Первый способ - стандартный
Второй - через к(когда число при х чётное)
Приложения:
tumanovarsenyi040327:
во втором способе просто вынести из под корня 4, получиться 2 корня из 6, и сократи две двойки(в числ и знам), получишь тоже, что и на 1 листе.
Похожие вопросы
Предмет: Русский язык,
автор: vzrbt
Предмет: Русский язык,
автор: pereskokova1971
Предмет: Русский язык,
автор: денис580
Предмет: История,
автор: ArtemNedelko
Предмет: Музыка,
автор: Dragonlord2005