Предмет: Алгебра,
автор: jacklala
Помогите решить алгебру. 50 баллов.
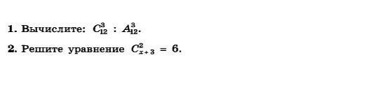
На фото.
Приложения:
Ответы
Автор ответа:
0
Ответ:
1. ㏒(7)
㏒ (1/2)
㏒(снизу)13 ( 28 )
2.С(снизу)х=3=корень6 -корень6
Десятичный вид:
2.44948974 , − 2.44948974
Объяснение:
тогда не верно, надо было конкретнее написать
https://www.mathway.com/ru/Algebra хороший сайт
Похожие вопросы
Предмет: Английский язык,
автор: balanchuk97
Предмет: Другие предметы,
автор: лизаpolishuk
Предмет: Українська література,
автор: ProGrama
Предмет: Физика,
автор: truxon2003
Это из темы размещение и сочетание. Нужно через интеграл делать.