Предмет: Алгебра, автор: nastalvova95

огэ 9 класс помогите срочно

Приложения:

Ответы

Автор ответа: drakerton
0

Ответ:

x_1 = -2

x_2 = 1

Объяснение:

x(x^2 + 2x + 1) = 2(x + 1)\\\\x(x+1)^2 = 2(x + 1)\\\\x(x+1)(x+1) = 2(x+1)\\\\x(x+1) = 2\\\\x^2 + x = 2\\\\x^2 + x - 2 = 0\\\\D = 1 + 8 = 9\\\\\sqrt D = 3\\\\x_1 = \frac{-1-3}{2} = \frac{-4}{2} = -2\\\\x_2= \frac{-1+3}{2}= \frac{2}{2} = 1

Автор ответа: mx6kz
0

Ответ:вот тебе 100% решение твоего задания

Приложения:
Похожие вопросы
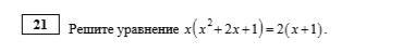
Предмет: Русский язык, автор: Маркина25