Предмет: Алгебра,
автор: slavasoloveyi
Решите все задания соч пж если училке не скину аттестата не будет пж сделайте
Приложения:
Ответы
Автор ответа:
1
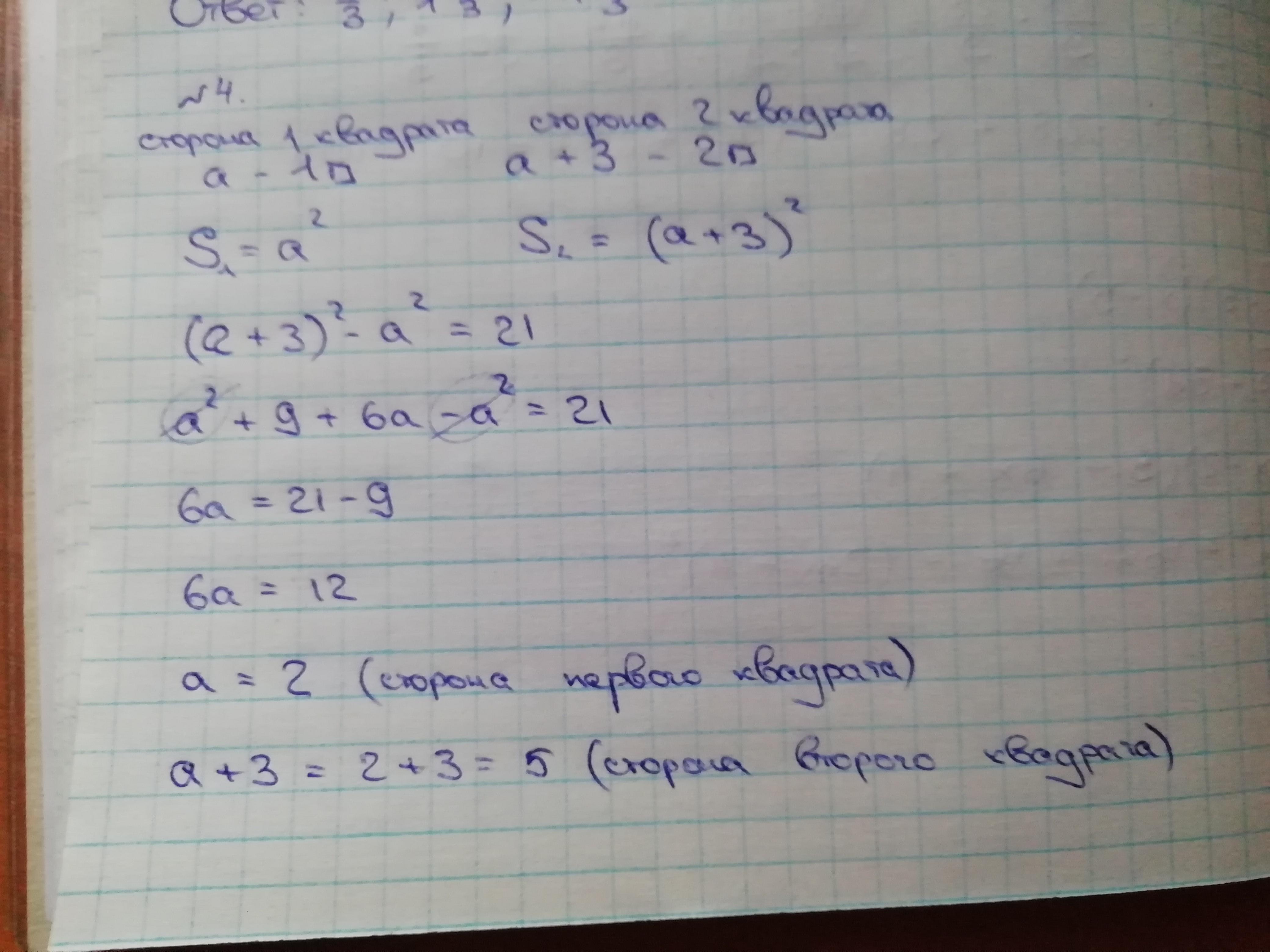
Ответ:
удачи с аттестатом
Приложения:
slavasoloveyi:
спс
прикрепила №4
cпс
Похожие вопросы
Предмет: Русский язык,
автор: 10082005
Предмет: Русский язык,
автор: 495Vuka
Предмет: Русский язык,
автор: Busina456
Предмет: Алгебра,
автор: meshcho2001
Предмет: Математика,
автор: нико90