Предмет: Алгебра,
автор: TIPAKLISHA
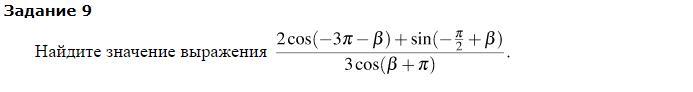
Можно без решения, просто ответ и как можно скорее. спасибо большое заранее.
Приложения:
Ответы
Автор ответа:
1
...........................
Приложения:
Похожие вопросы
Предмет: Русский язык,
автор: mawka13
Предмет: Русский язык,
автор: nektoktoto
Предмет: Английский язык,
автор: kristinag
Предмет: Математика,
автор: Kei11
Предмет: История,
автор: Nastika22Tasika