Предмет: Математика,
автор: НаСтЯ646736365262
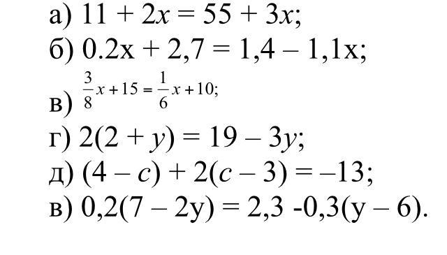
ПОМОГИТЕ ПЖ!!ЧИСЛА РАЦИОНАЛЬНЫЕ!25 БАЛЛОВ
Приложения:
Ответы
Автор ответа:
0
Ответ:
Пошаговое объяснение:
https://www4f.wolframalpha.com/Calculate/MSP/MSP1356110e5d6a4h058981c0000331ggc258323i557?MSPStoreType=image/gif&s=29
0)
Приложения:
НаСтЯ646736365262:
А на остальные уравнения?
все)
Похожие вопросы
Предмет: Українська мова,
автор: olyag80
Предмет: Русский язык,
автор: шакла
Предмет: Русский язык,
автор: Елиза002
Предмет: Математика,
автор: kisi2006