Предмет: Алгебра,
автор: Аноним
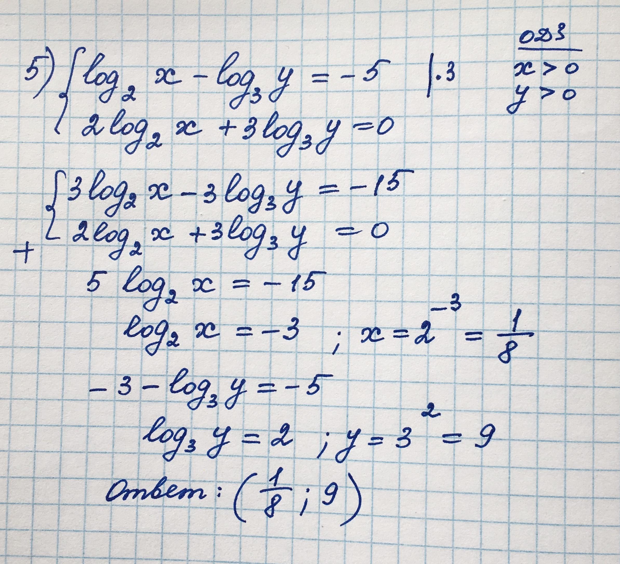
Решение логарифмических уравнений и систем
Решить уравнения и систему: 2 3 4 (по желанию 1 и 5) (если может отправьте фоткой)
50 Б
Приложения:
Ответы
Автор ответа:
0
Ответ:
Объяснение:
............................
Приложения:
Reshallka:
Помоги плиз https://znanija.com/task/35511433
Похожие вопросы
Предмет: Русский язык,
автор: Savostyanova02
Предмет: Русский язык,
автор: Аноним
Предмет: Русский язык,
автор: berezovskay2000
Предмет: Математика,
автор: riki222
Предмет: Обществознание,
автор: larina666