Предмет: Алгебра,
автор: alenaadragunovskaa
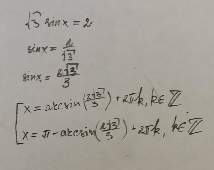
√3sin x =2 розв'яжіть рівняння
Ответы
Автор ответа:
1
Ответ:
На фотографии
Объяснение:
Объяснение на фотографии
Приложения:
Похожие вопросы
Предмет: Русский язык,
автор: sashapisarov235
Предмет: Русский язык,
автор: 04081976
Предмет: Русский язык,
автор: irisha6415
Предмет: Литература,
автор: ivanov2015123
Предмет: Математика,
автор: Limondd