Предмет: Математика,
автор: nissanartem2003
Срочно !!!!!!!!!!!!!!!!!!!!!!!!!!
Приложения:
Ответы
Автор ответа:
1
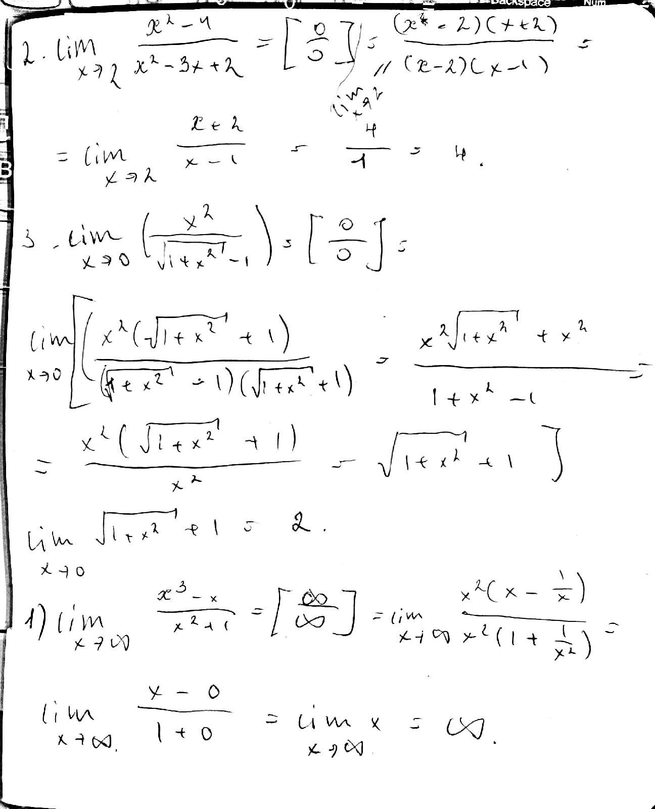
Ответ:
1)бесконечность
2)4
3)2
Пошаговое объяснение:
Конечно если ты знаешь что такое производная можно быстрее, просто сначала берешь производную числителя, а потом производную знаменателя.
Приложения:
Похожие вопросы
Предмет: Русский язык,
автор: kisa5555
Предмет: Русский язык,
автор: Кристina55555
Предмет: Английский язык,
автор: ahaah
Предмет: Математика,
автор: никберкут
Предмет: Математика,
автор: qqqwwweee2006