Предмет: Экономика, автор: meatboy20002020

1. Прибыль: состав и особенности формирования в современных условиях.
2. Понятие и состав издержек производства и обращения.
3. Решить задачу: (раздел: «Кадры и производительность труда») Среднесписочная численность
работников предприятия за год составила 600 чел. В течении года уволились по собственному
желанию 37 человек, уволено за нарушение трудовой дисциплины 5 человек, ушли на пенсию 11
человек, поступили в учебные заведения и были призваны в армию 13 человек, переведены на другие
должности в другие подразделения предприятия 30 человек. Определить коэффициент текучести
кадров.

Ответы

Автор ответа: arbuzProject
0

Ответ:

1.Показатели прибыли становятся важнейшими для оценки производственной и финансовой деятельности. Конечный финансовый результат деятельности — это прибыль (убыток) отчетного периода до налогообложения.

2.Издержки – это затраты на производство продукции, оплата приобретенных факторов производства. Увеличение объемов производства по-разному влияет на издержки производства (затраты).

Третье не смогу решить прости, но щас попробую

3. Число выбывших за период = 37 + 5 + 11 + 13 = 66 чел.

Коэффициент оборота по выбытию:

Коэффициент выбывших

Среднесписочная численность – среднесписочная численность работников предприятия.

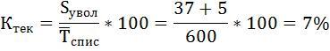
Коэффициент текучести кадров:

Коэффициент текучести

Sувол – число уволенных по собственному желанию и за нарушение трудовой дисциплины.

Приложения:
Похожие вопросы
Предмет: Русский язык, автор: Sofika2001
Предмет: География, автор: дися04
1.чем вызвана смена времени года.
2.перечислите приборы которые используют на метеостанциях
3.что такое шасштаб. перечислете виды мвсштабов
4.как образуются горы.каким цветом они показаны на карте
5.как называется наука о горных породах и минералах. что такое горная порода.
6.что такое атмосферное давление.
7.высотой над уровнем моря мы называем...........
8.перечислете виды масштабов. как они показаваются где используются
9.назовите виды земной коры. какова толщина земной коры.
10.что мы называем равниной.каким цветом она показана на карте.
11.где более подробно изображена территория-на топографической карте,плане.географической карте.
12.что изучает физическая карта.
13.как называются устойчивые участки суши.
14.кто и в каком гду совершил кругосветное путешествие
15.назовите состав географической оболочки
16.что такое азимут
17.какое строение имеет вулкан
18. какие горные породы мы называеммагматическими. перечислете эти горные погоды.