Предмет: Алгебра,
автор: 2ssleta
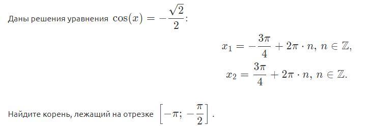
Алгебра 10 класс. Помогите
Приложения:
Ответы
Автор ответа:
1
Ответ:
извини, но ответ только на первое могу дать
Приложения:
Похожие вопросы
Предмет: Русский язык,
автор: VUSYAAA
Предмет: Українська мова,
автор: iulroma2013
Предмет: Русский язык,
автор: kunma
Предмет: Физика,
автор: AkiLivingston1
Предмет: Биология,
автор: aikatlyizam