Предмет: Алгебра,
автор: boompomo
ОЧЕНЬ СРОЧНО, ПОМОГИТЕ! АЛГБ. ДРОБИ
Приложения:
Ответы
Автор ответа:
0
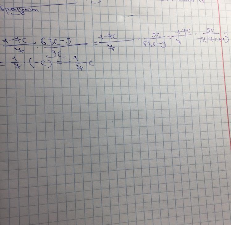
Решение и ответ в прикреплённом фото
Приложения:
Похожие вопросы
Предмет: Русский язык,
автор: sasha2741
Предмет: Английский язык,
автор: аврора19
Предмет: Русский язык,
автор: Азалия13
Предмет: Математика,
автор: vania32
Предмет: Биология,
автор: ZiGZaGLocTI