Предмет: Математика,
автор: antipovasasha80
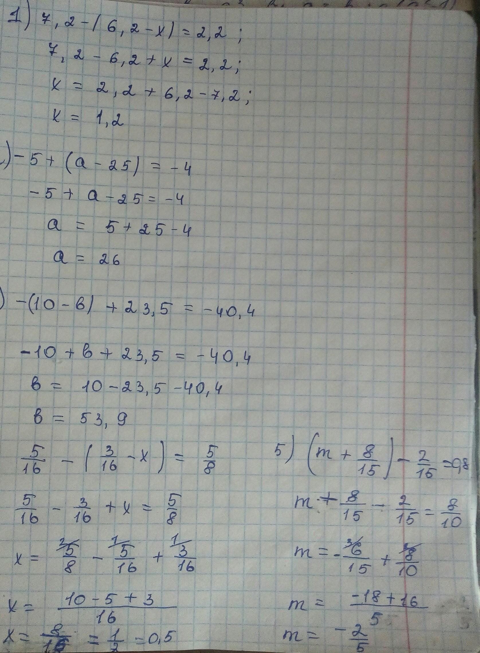
Раскройте скобки и решите уравнение. 20 баллов.
Приложения:
Ответы
Автор ответа:
0
Ответ:
всі завдання...............
Приложения:
Похожие вопросы
Предмет: Русский язык,
автор: sergey502
Предмет: Русский язык,
автор: sergey502
Предмет: Английский язык,
автор: Tanusha1999
Предмет: Математика,
автор: yuliyacelisheva