Предмет: Алгебра,
автор: Graen
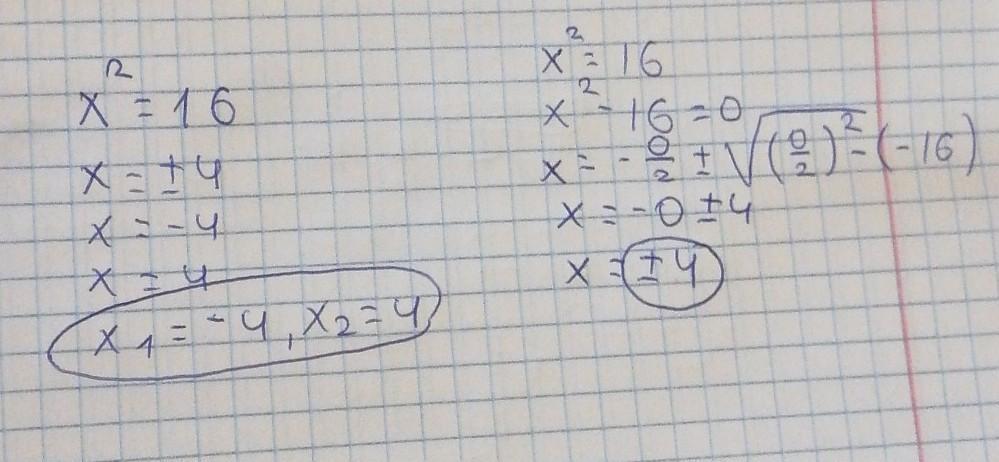
х²=16 розв'язати рівняння
Ответы
Автор ответа:
2
Ответ: -4; 4
Автор ответа:
0
Ответ:
Смоооотриии фооооотоооо
Приложения:
Похожие вопросы
Предмет: Английский язык,
автор: ГенийИстории
Предмет: Английский язык,
автор: ГенийИстории
Предмет: Английский язык,
автор: ГенийИстории
Предмет: Алгебра,
автор: iCEPIXXSEL
Предмет: Математика,
автор: VacBan2000