Предмет: Алгебра,
автор: zelenayasopelka
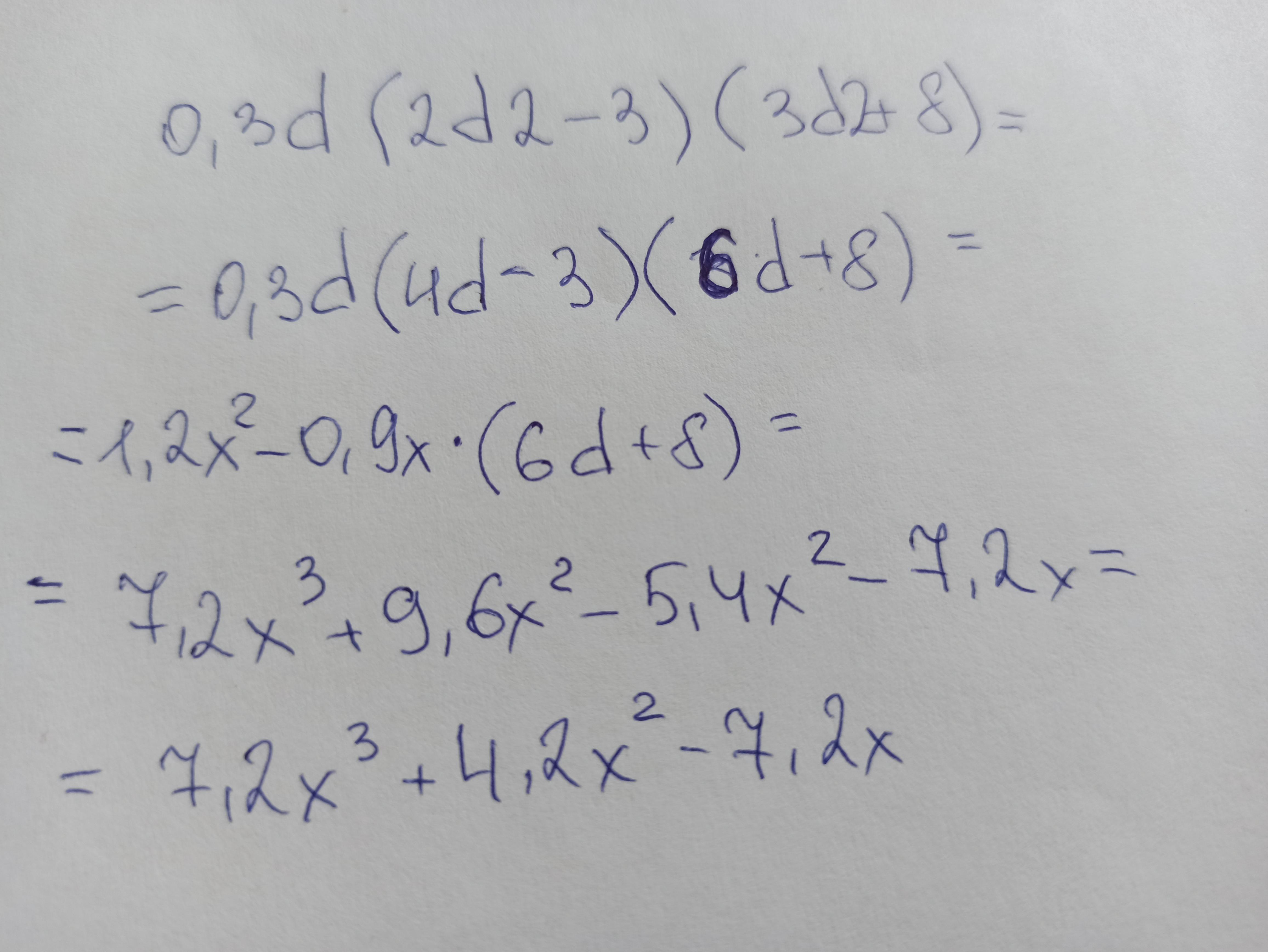
0,3d(2d2-3)(3d2+8)
СРОЧНО!!!!!!!
Ответы
Автор ответа:
0
Ответ: упростила выражение.
Только вместо x-d, по привычке пишу x.
Приложения:
Похожие вопросы
Предмет: Английский язык,
автор: Аноним
Предмет: Русский язык,
автор: volodinaelena
Предмет: Алгебра,
автор: Dina2212
Предмет: Химия,
автор: oksanaletc
Предмет: История,
автор: Anya8182