Предмет: Алгебра,
автор: timkinpark497
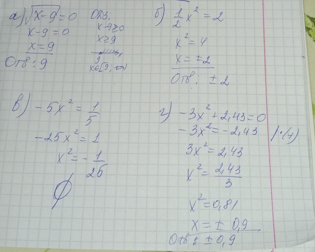
Решить уравнение:
А) корень Х - 9 = 0
Б) 1/2 х в квадрате =2
В) -5х в квадрате = 1/5
Г) -3х в квадрате + 2,43=0
Ответы
Автор ответа:
0
Ответ:
ответ и решение на фото
Приложения:
Похожие вопросы
Предмет: Английский язык,
автор: Аноним
Предмет: Українська мова,
автор: maksdavidenko
Предмет: Русский язык,
автор: Grimlen5
Предмет: Литература,
автор: semen13123
Предмет: Алгебра,
автор: olganik1976