Предмет: Алгебра, автор: vladkozhevin

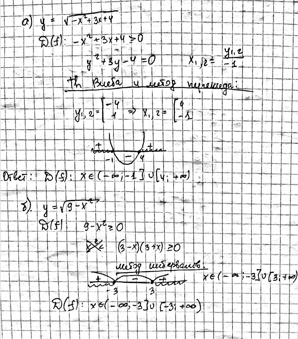
Найдите область определения функции​

Приложения:

Ответы

Автор ответа: Reshallka
0

Решение во вложении:

Приложения:
Похожие вопросы
Предмет: Английский язык, автор: hafa3

9F (V2)Y

I. Write the verbs in brackets in the correct tense.

1) I (know) my best friend for five years.

2) I (go) to the United States last year.

3) Jane (meet) her boyfriend three years ago.

4) My grandfather is ninety. He (live) in the same house all his life

. 5) Someone stole my purse while I (stop) in the supermarket.

6) I (know) Alison since we (be) five years old.

I. Translate into English.

1) Мой брат делал уроки, когда я позвонил.

2) Давид не получал письмо, которое его дядя отправил ему.

3) Джон сказал, что был на море раньше.

4) Работа была выполнена вовремя.

5) Никто не видел моей книги.

6) Кем был построен этот дворец?

 Ш. Fill in the gaps with in, on, at, since, to.

1) Mr.Hudson has lived in this city … 1996.

2) Frank’s parents returned from Canada … autumn.

3) Professor Fox came to this university … 1987.

4) We went out for a cup of coffee … the middle of afternoon.

5) My friend has studied German … last September.

6) I have finished the work … last!

7) Do you usually come … school … time … the morning?

IV. Use Active or Passive Voice and the correct tense. 1) Not much (say) about this since that time. 2) My friend (write) to me about it several times. 3) All the students (bring) their relatives to the party last night. 4) There (be) no trouble yet. 5) I’m sure you (remember) his name. 6) The post (deliver) to the office in the morning. V. Translate the sentences. 1) Он сказал, что не знает ее адреса. 2) Она поинтересовалась, приедет ли он в Москву. 3) Она попросила помочь ей. 4) Учитель попросил нас не опаздывать. 5) Он спросил меня, когда уходит автобус. 6) Если бы он позвонил вчера, мы бы все сделали к сроку

Предмет: Математика, автор: отличница346