Предмет: Математика, автор: danil1946

пожалуйста пошагово без лишних слов очень важно много баллов

Приложения:

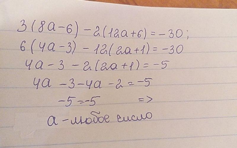
m11m: Ответ: а - любое число.

Ответы

Автор ответа: DarkCatsSmile
0

Відповідь:

a - любое число

Покрокове пояснення:

Приложения:
Автор ответа: shekastoegovno
0

Ответ:

96а-72-96а-48=-120

-120=120

Пошаговое объяснение:

1.раскрываем скобки

2. приводим подобные слагаемые

3.тождество доказано

Похожие вопросы
Предмет: Русский язык, автор: Мимимии

Какое слово из предложений 15—24 имеет значение «открытый, обнажённый»?

 

(15) А кто виноват? (16) Из-за кого беда? (17) Виноваты в пожарах прежде всего люди, прибывающие в некогда дикие, непролазные чащи. (18) Тут и геологи, и дорожники, и электрики, и строители, и лесорубы, да и просто вездесущие туристы. (19) А где много людей, там обязательно обнаружится непогашенный окурок, небрежно брошенная спичка, тлеющий костёр, искра от электросварки или от порвавшихся проводов. (20) Да мало ли что ещё…

(21) Беспечность человека — вот главная причина беды. (22) А наш мир так же сложен и уязвим, как паутина: стоит коснуться одной паутинки, как непременно дрогнут все остальные. (23) Ведь мы не просто касаемся паутины — мы оставляем в ней зияющие дыры. (24) За растения и животных некому заступиться, кроме нас, людей, которые вместе с нами населяют нашу прекрасную планету…

Предмет: Алгебра, автор: brabrainly