Предмет: Алгебра,
автор: ArinaPro15
Помогите пожалуйста! Объясните по шагово как решать это уравнение. Не поняла эту тему
Приложения:
kekovskiy99:
маловато баллов за такое уравнение
Ну извини, я новичок мало баллов у меня сейчас
Ответы
Автор ответа:
1
Объяснение:
То, что после знака равно переносишь в левую часть с противоположным знаком, после приводишь к наименьшему общему знаминателю(6)(числитель домножаешь на то число, на которое домножала знаминатель), а после решаешь как уравнение. Знаминатель никогда не равен нулю!
Спасибо
Автор ответа:
1
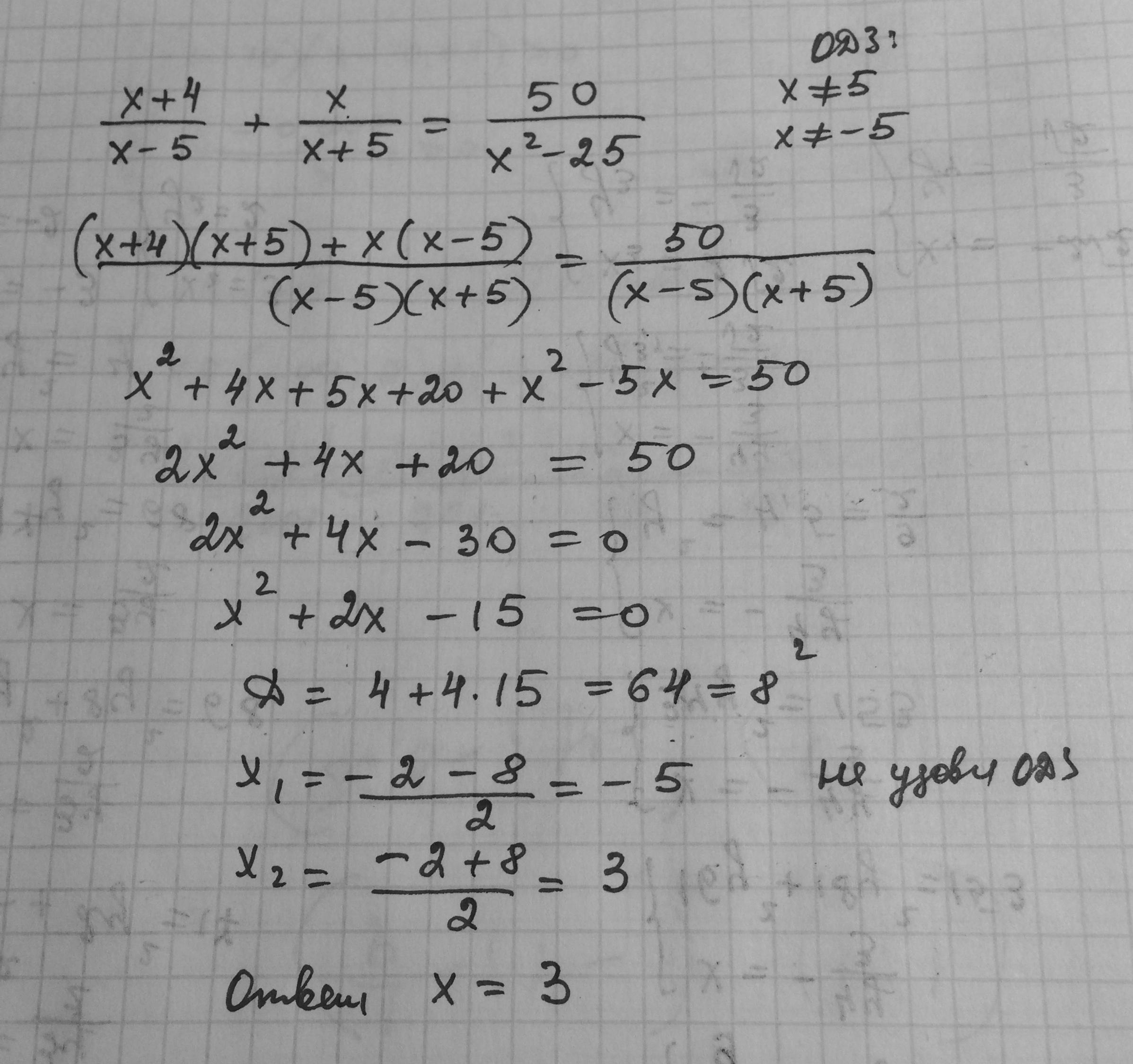
Ответ: 3
Объяснение: пошаговое решение в прикрепленном к данному ответу файле
Приложения:
Похожие вопросы
Предмет: Английский язык,
автор: Pro100boy
Предмет: Английский язык,
автор: Mariyasergeeva2001
Предмет: Русский язык,
автор: Незнайка1234567
Предмет: История,
автор: alisha2309
Предмет: Алгебра,
автор: Сияние02