Предмет: Алгебра,
автор: iiiiiiiiiiiiiiii
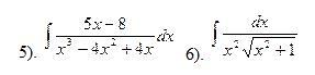
Неопределенные интегралы
Приложения:
Ответы
Автор ответа:
1
Ответ:
решение на фотографиях
Приложения:
Похожие вопросы
Предмет: Русский язык,
автор: Blumyk10
Предмет: Русский язык,
автор: СоЛнЫшКо00
Предмет: Русский язык,
автор: Аноним
Предмет: Математика,
автор: daniapz
Предмет: Математика,
автор: hfdaajh