Предмет: Математика,
автор: dilleron25462
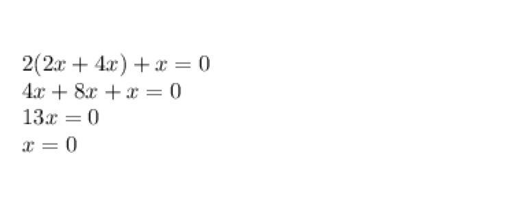
2(x2+4x)+x=0
СРОЧНО!!!
Ответы
Автор ответа:
1
Вот пошаговое объяснение::
Приложения:
Похожие вопросы
Предмет: Английский язык,
автор: Fresf999
Предмет: Русский язык,
автор: хинатик648
Предмет: Русский язык,
автор: 79086385802
Предмет: Физика,
автор: verinavi
Предмет: Геометрия,
автор: kpop7