Предмет: Химия,
автор: jennie22090j
Помогите пожалуйста срочно!!
Приложения:
Ответы
Автор ответа:
1
..............................
Приложения:
Автор ответа:
1
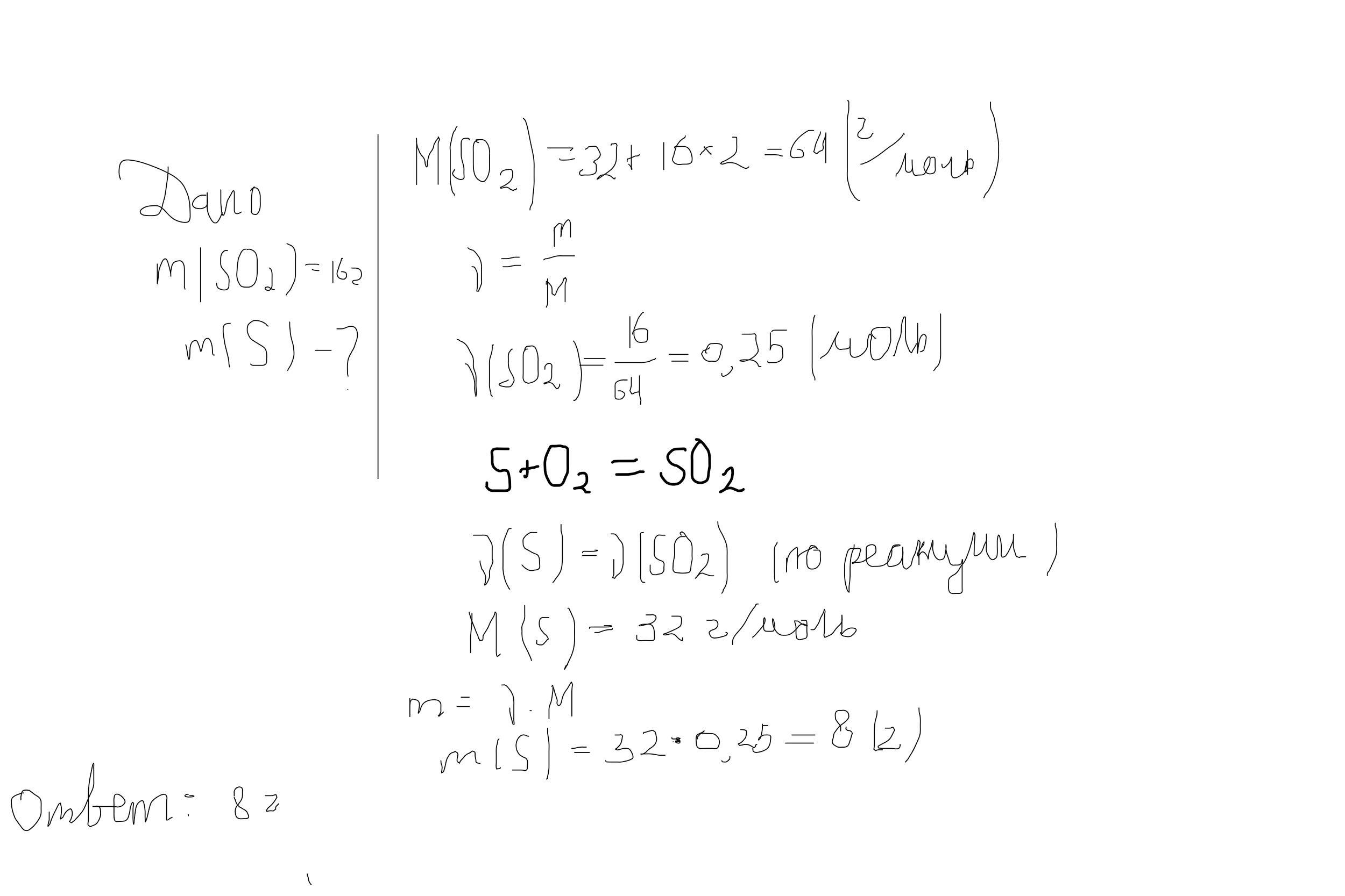
Ответ:
Решение на фото
Объяснение:
Приложения:
Похожие вопросы
Предмет: Русский язык,
автор: Алина053
Предмет: Русский язык,
автор: dancefuture
Предмет: Русский язык,
автор: катеринка1699
Предмет: Информатика,
автор: kaljan1983
Предмет: Математика,
автор: Liza0393