Предмет: Математика,
автор: marsfz400
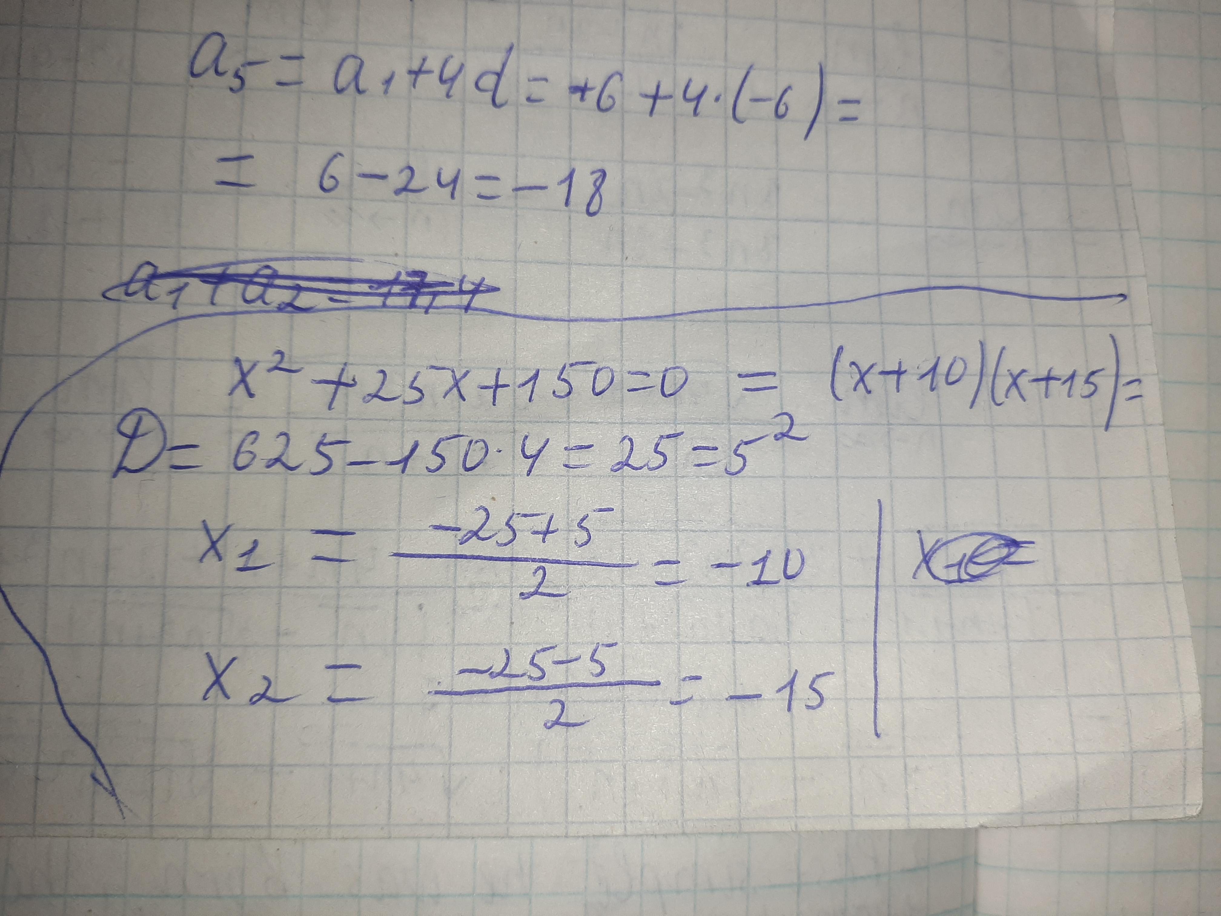
не используя формулу корней найдите корни квадратного уравнения x2+25x+150=0
Ответы
Автор ответа:
0
Ответ:
Пошаговое объяснение:
Приложения:
Похожие вопросы
Предмет: Русский язык,
автор: Realboxer
Предмет: Русский язык,
автор: Аноним
Предмет: Английский язык,
автор: новенькая85
Предмет: Физика,
автор: Vanya234567
Предмет: Биология,
автор: КириллПлатонов