Предмет: Алгебра,
автор: Aleksander1337
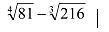
Найдите значение разности
Приложения:
Ответы
Автор ответа:
0
Ответ:
-3
Объяснение:
Похожие вопросы
Предмет: Русский язык,
автор: 89841550524
Предмет: Русский язык,
автор: nikkitozzza
Предмет: Русский язык,
автор: KajenovaAruzat
Предмет: Математика,
автор: папапапаор