Предмет: Математика,
автор: Аноним
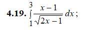
Высчитайте интеграл (нужно полное решение)
Приложения:
Ответы
Автор ответа:
1
Ответ:
Ответ на фото
Пошаговое объяснение:
Приложения:
Аноним:
Спасибо, сможете ещё один решить? https://znanija.com/task/35279032
Похожие вопросы
Предмет: Русский язык,
автор: Tatyana18
Предмет: Английский язык,
автор: DimkaSkrip
Предмет: Русский язык,
автор: Альбиночка989
Предмет: Математика,
автор: Космос007228
Предмет: Алгебра,
автор: nnn43