Предмет: Математика, автор: Аноним

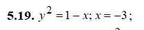
Высшая математика. Условие: Найти площадь фигуры ограниченной линиями.

Нужно полное решение.

Приложения:

Ответы

Автор ответа: QDominus
1

Решение приложено...

Приложения:
Похожие вопросы
Предмет: Биология, автор: Mashutkaa

А.1. Чем зигота отличается от гаметы

1) содержит двойной набор хромосом         

2) содержит одинарный набор хромосом    

3) образуется путем мейоза                                 

4) представляет специализированную клетку для полового размножения

 

А.2. Ген – участок молекулы

1) РНК                2) ДНК              3) белка          4) липида

 

А.3. В половых клетках здорового человека находится

1) 32 хромосомы    2) 46 хромосом     3) 21 хромосома     4) 23 хромосомы

 

А.4. Анализирующее скрещивание – это скрещивание исследуемой особи с

1)  гомозиготной доминантной особью        2)  гетерозиготной особью    

3) гомозиготной рецессивной особью         

4)  особью с аналогичным генотипом

 

А.5. Два гена наследуются независимо, если они располагаются в

1) половых хромосомах                             2) гомологичных хромосомах

3)половой хромосоме                                4) негомологичных хромосомах

 

А.6. Гетерозиготными называются организмы

1) несущие только рецессивные гены          2) образующие несколько типов гамет

3)  несущие только доминантные гены        4) образующие один тип гамет

 

А.7. Соотношение по фенотипу 1:2:1 наблюдается при

1) дигибридном скрещивании гетерозиготных особей        

3) анализирующем скрещивании               

2) неполном доминировании                   

4) моногибридном скрещивании гомозиготных особей

 

А.8. Хромосомы, одинаковые у самцов и самок называются

1) центромерами            2) полирибосомами       

3) половыми хромосомами     4) аутосомами    

 

А.9. Генотип - это

1) всех генов вида       \                                3) всех генов организма               

2) всех генов, расположенных в ядре клетки             

4) всех генов популяции

 

А.10. При скрещивании двух длинношерстных морских свинок получили 25% короткошерстных особей. Это значит, что родительские особи являлись

1) гомозиготными по доминантному гену                          

2)гомозиготными по рецессивному гену

3)одна особь гомозиготной по доминантному гену, а другая гетерозиготной  

4) гетерозиготными

 

А.11. Локус - это

1) форма существования гена         3) место гена в хромосоме               

2) 1% кроссинговера                        4) ген половой хромосомы

 

А.12. У собаки родилось восемь щенков, шесть из которых имели черную шерсть, а двое – серую, что свидетельствует о проявлении

1) закона расщепления                        3) сцепленного наследования       

2) правила доминирования                 4) закона единообразия    

 

А.13. Хромосомный набор соматической клетки мужчины содержит

1) одну Х и одну У  - хромосомы           2) 46 хромосом и  ХУ - хромосомы               

3)22 аутосомы и одну У - хромосому    4) 23 аутосомы и одну У – хромосому

 

А.14. При скрещивании кроликов с генотипами АаВв и аавв  получится потомство с генотипами

1) 25% - АаВв и 75% - аавв               3) 50% - АаВв и 50% - аавв    

2) 100% АаВв                                      4) 75% - АаВв и 25% - аавв

     

А.15. Сцепленное наследование НЕ бывает абсолютным, так как нарушается в результате

1) независимого расхождения хромосом при мейозе        

2) взаимодействием неаллельных генов              

2) кроссинговера при мейозе                     

4) равновероятностного расхождения хроматид в митозе

 

А.16. Сколько типов гамет может образоваться в результате нормального гаметогенеза у особи с генотипом CcDd

1) один        2) три           3) два                4) четыре

 

А.17. При скрещивании дигетерозиготных особей между собой наблюдается расщепление

1) 1:1:1:1        2) 3:1           3) 1:2:1                4) 9:3:3:1

 

 

 

А.18. Какова вероятность рождения голубоглазого ребенка у супругов имеющих карие глаза и гетерозиготных по данному признаку

1) 25%        2) 50%          3) 100%                4) 75%

 

 А.19. Ген, способный подавлять действие доминантного гена, называется

1) рецессивный        2) супрессор           3) доминантный                4) полимерный

 

А.20. Промежуточный характер наследования признаков  проявляется при

1) сцепленном наследовании                3) независимом наследовании          

2) полном доминировании                    4) неполном доминировании

 

В.1. Установите последовательность проявления в фенотипе  потомстве рецессивной мутации

А) случайная встреча гамет

Б) изменение последовательности соединения нуклеотидов в триплете ДНК гамет

В) реализация генотипа в онтогенезе

Г) формирование гомозиготы

 

 

 

 

 

 

С.1.Гладкая поверхность семян кукурузы доминирует над морщинистой, окрашенные семена доминируют над неокрашенными. Оба признака сцеплены. При скрещивании кукурузы с гладкими окрашенными семенами с растением, имеющими морщинистые неокрашенные семена, получено такое потомство: окрашенных гладких – 4152 особи, окрашенных морщинистых – 149, неокрашенных гладких – 152, неокрашенных морщинистых – 4163. Определите расстояние между генами.

Предмет: Алгебра, автор: usenova1993