Предмет: Математика,
автор: mimep67093
Высшая математика. Интеграл (нужно полное решение)
Приложения:
Ответы
Автор ответа:
0
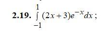
Ответ:
решение на фотографии
Приложения:
Похожие вопросы
Предмет: Русский язык,
автор: Аноним
Предмет: Русский язык,
автор: Дарья20002
Предмет: Русский язык,
автор: 2950820
Предмет: Физика,
автор: annaodeyalo1
Предмет: Алгебра,
автор: lirigel