Предмет: Математика,
автор: nimavavese
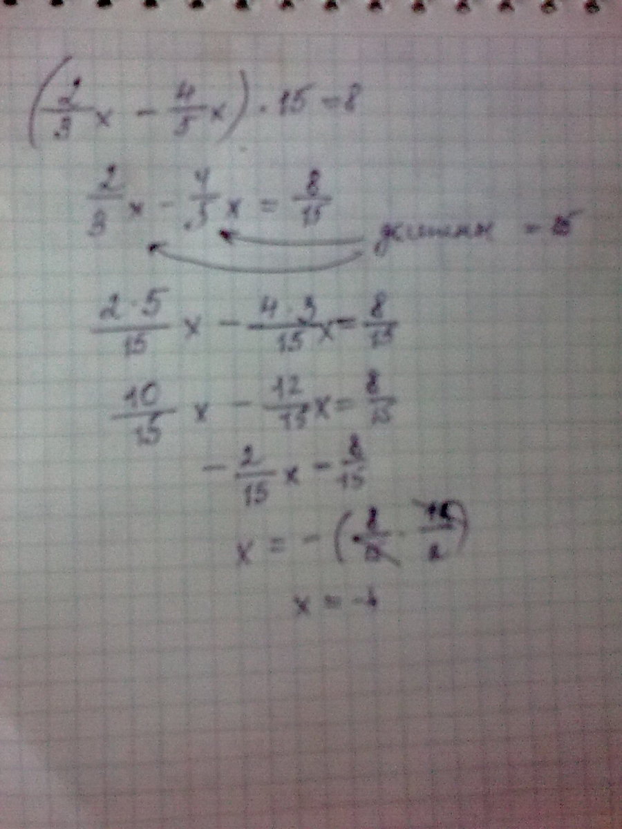
решите уравнение
(2/3x-4/5x)*15=8
Ответы
Автор ответа:
0
Я чуток ошиблась. Надеюсь на фото будет видно решение.
Приложения:
Похожие вопросы
Предмет: Литература,
автор: uldanaibranovaaa
Предмет: Информатика,
автор: Kerara
Предмет: Химия,
автор: arpp22
Предмет: Математика,
автор: love2013love
Предмет: Физика,
автор: Аноним