Предмет: Алгебра,
автор: francuhoksana
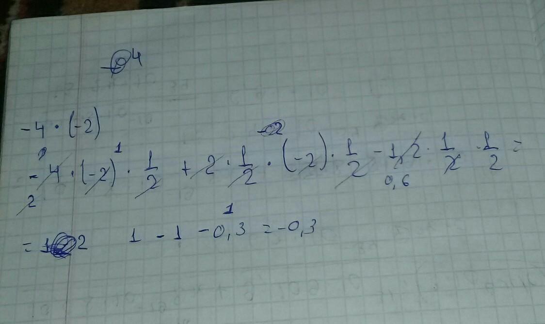
упростите многочлен:-4ba+2aba-1,2aa.Найдите его значение,если a=1/2,b=-2
Ответы
Автор ответа:
2
-0.3
.................
Приложения:
Автор ответа:
0
Ответ:
-4ba+2aba-1,2aa= -4ab+2a²b-1,2a²
Если a= 1/2, b=-2, то -4ab+2a²b-1,2a²= -4*1/2*(-2)+2*1/2²*(-2)-1.2*1/2²=
27/10
Похожие вопросы
Предмет: Алгебра,
автор: Utkonos
Предмет: Информатика,
автор: golo
Предмет: История,
автор: goveta1317
Предмет: Алгебра,
автор: ekateruna33
Предмет: Литература,
автор: polku2004