Предмет: Алгебра,
автор: necrolust1986
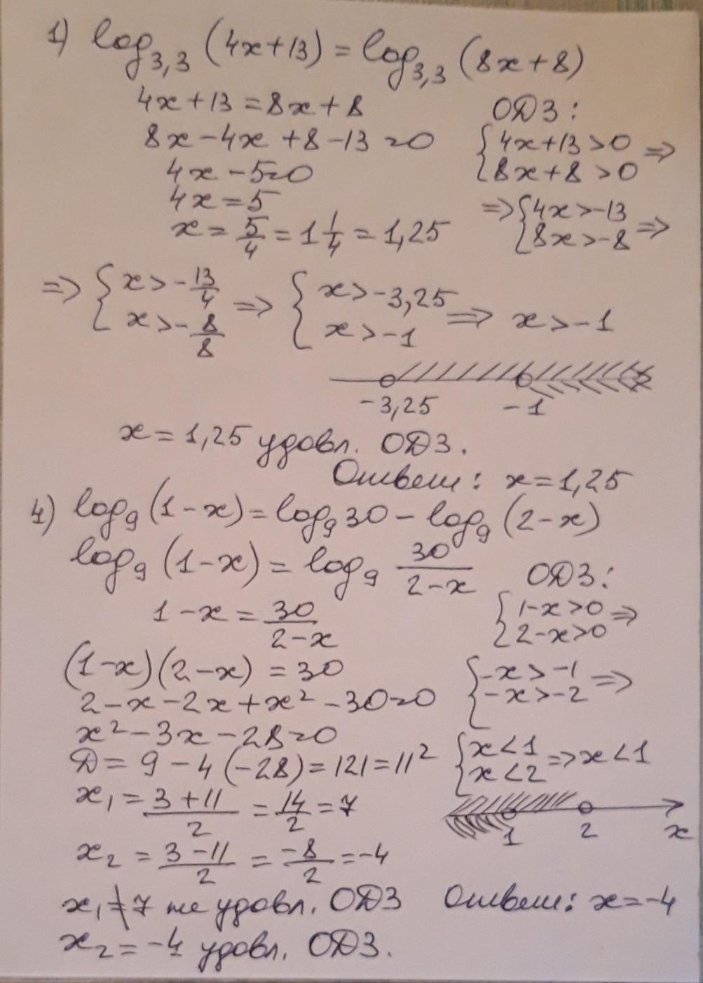
Помогите с логарифмическими уравнениями, пожалуйста! Хотя-бы что-то из этого
Приложения:
Ответы
Автор ответа:
1
Ответ:
Прости, друг, помню только про эти
Приложения:
helper209:
в 4) х= 27/-2; х=-13,5
спасибо
Автор ответа:
0
Ответ:
Решите логарифмические уравнения.
Приложения:
Похожие вопросы
Предмет: Физика,
автор: saden
Предмет: Математика,
автор: 555полина555111
Предмет: Геометрия,
автор: aterina
Предмет: История,
автор: Rona29
Предмет: Информатика,
автор: анЕль2424