Предмет: Алгебра, автор: Karina6013

Помогите пожалуйста!​

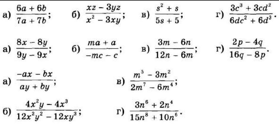
Приложения:

Ответы

Автор ответа: jfufusisiej
0

Ответ:

б)

 \frac{z}{x}

в)

 \frac{s}{5}

г)

 \frac{c}{2d}


Karina6013: Спасибо, а остальные?
Похожие вопросы
Предмет: Химия, автор: Frank8888