Предмет: Геометрия,
автор: DenisNab
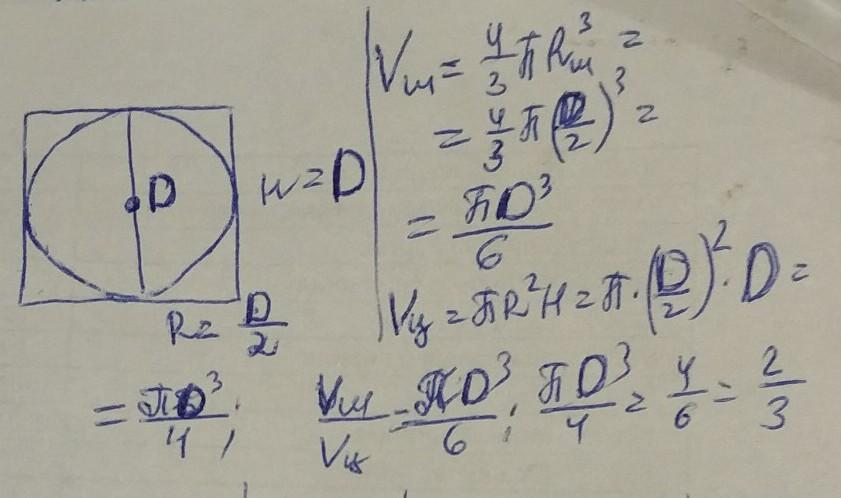
Диаметр шара равен высоте цилиндра, осевое сечение которого есть квадрат. Найдите отношение объемов шара и целиндра.
Ответы
Автор ответа:
1
Ответ:
Vшара/Vцилиндра=2/3
Объяснение:
решение во вложении
Приложения:
Похожие вопросы
Предмет: Математика,
автор: aset26
Предмет: Литература,
автор: mashulla
Предмет: Геометрия,
автор: Lera3424
Предмет: Математика,
автор: 11779483737