Предмет: Алгебра,
автор: Ruskiychel
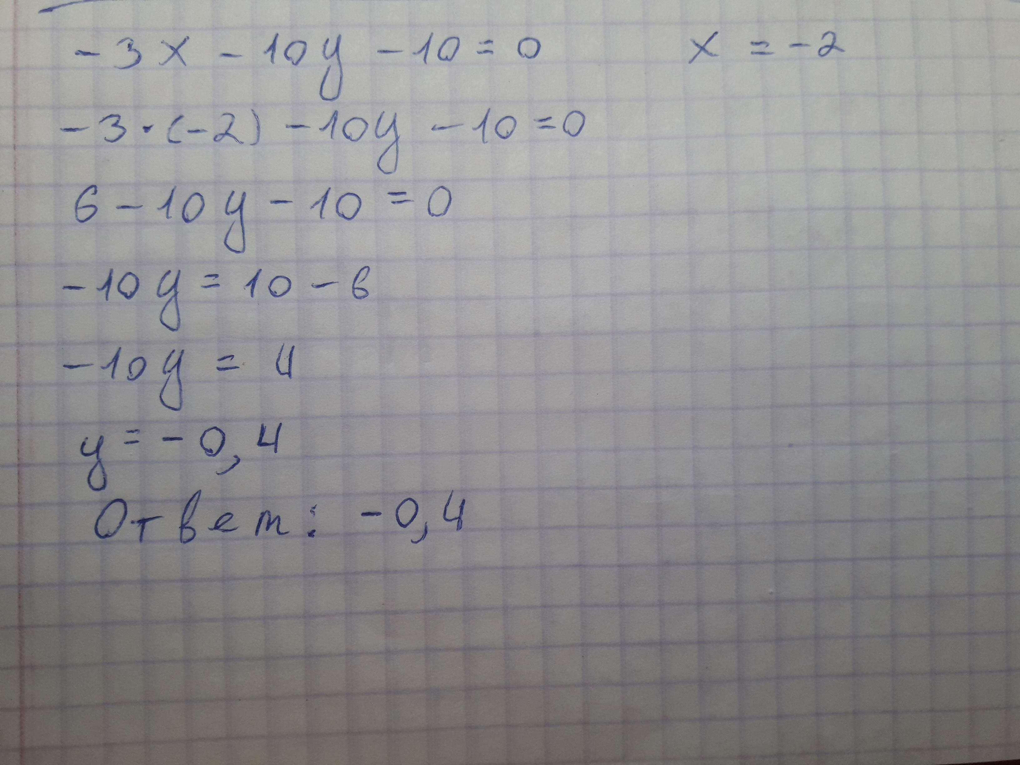
Известно, что абсцисса некоторой точки прямой, заданной уравнением −3x−10y−10=0, равна −2. Найди ординату этой точки.
Ответы
Автор ответа:
3
Ответ: -0,4
Если я тебе помог, оцени мои старания))
Приложения:
Похожие вопросы
Предмет: Химия,
автор: Ibiza
Предмет: Геометрия,
автор: vasilliy
Предмет: Английский язык,
автор: Minni777
Предмет: Математика,
автор: бугага18
Предмет: Литература,
автор: sunny2003