Предмет: Алгебра,
автор: ludmaala
система
ху=4,
2х-у=-2
Ответы
Автор ответа:
0
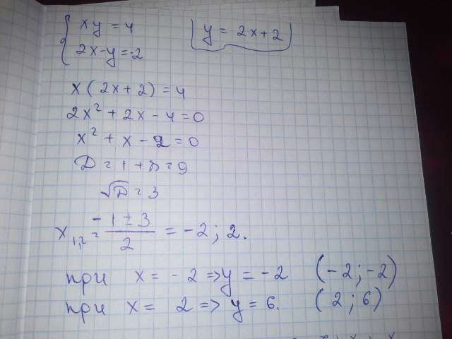
Смотрите фото там решение
Приложения:
Автор ответа:
0
спасибо
Автор ответа:
0
х*у=4
2х-у=-2
х+2х=4+(-2)
3х=2
х=2:3
х=2/3(дробь )
Если х=2/3, то ху=4
2/3*у=4
у=4:2/3
у=6
Ответ: х=2/3 , у=6
2х-у=-2
х+2х=4+(-2)
3х=2
х=2:3
х=2/3(дробь )
Если х=2/3, то ху=4
2/3*у=4
у=4:2/3
у=6
Ответ: х=2/3 , у=6
Приложения:
Похожие вопросы
Предмет: Қазақ тiлi,
автор: artemgensh789
Предмет: Русский язык,
автор: Feedjj
Предмет: Немецкий язык,
автор: mormex37
Предмет: Физика,
автор: Abroosha
Предмет: Математика,
автор: Valiiii89