Предмет: Алгебра,
автор: ItsSaifPro
Срооооочноооооооооооооо
Приложения:
Ответы
Автор ответа:
1
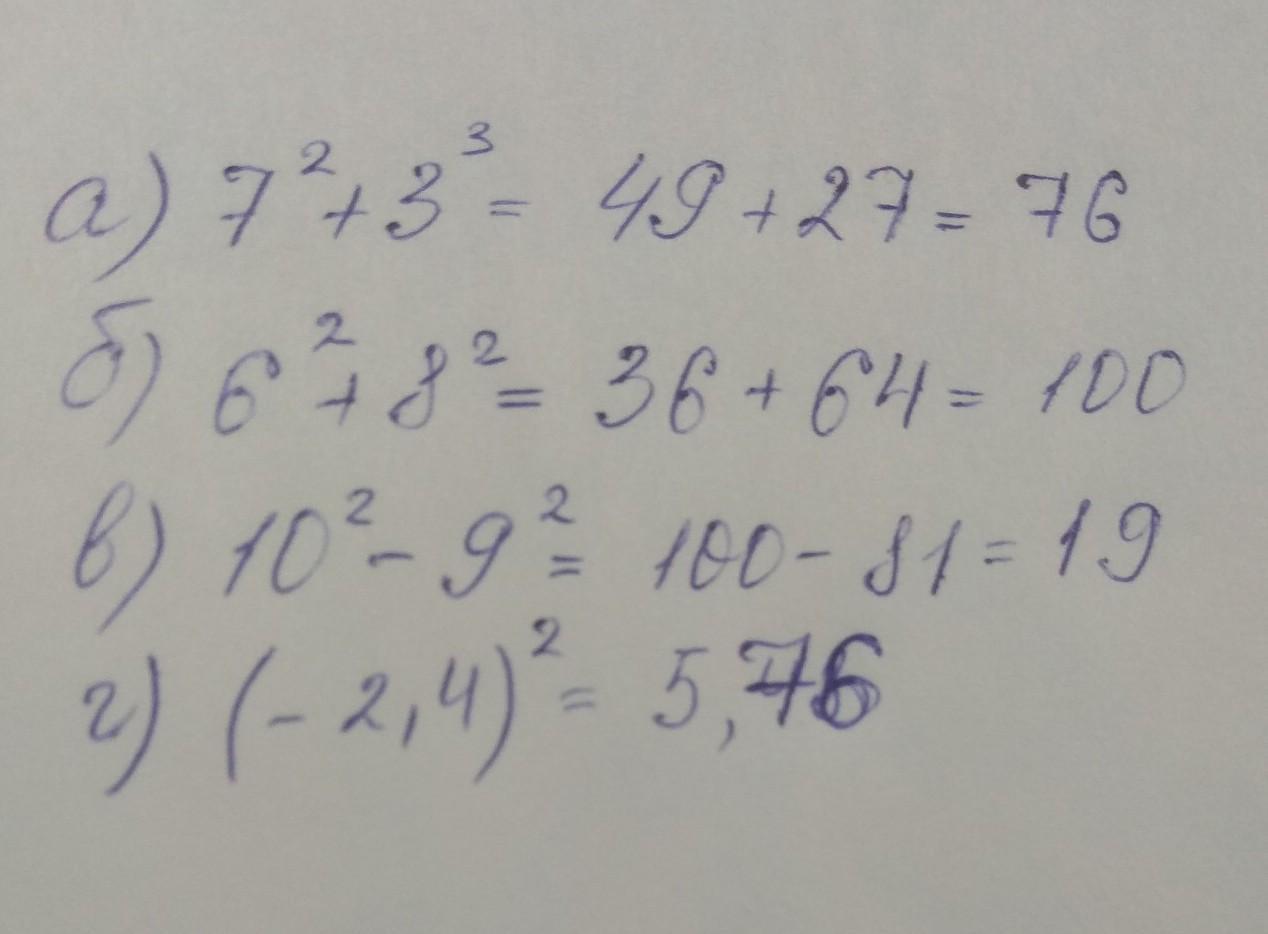
Тут всё легко, вот держи:
Приложения:
Похожие вопросы
Предмет: Литература,
автор: 2214798
Предмет: Математика,
автор: 89877253868
Предмет: Химия,
автор: Ильсур01
Предмет: Физика,
автор: Лерик03
Предмет: Математика,
автор: tatka822