Предмет: Алгебра,
автор: klaccc28
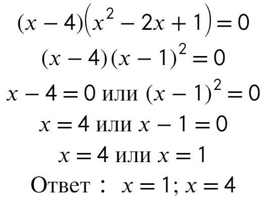
(x-4)(x2-2x+1)=0
Помогите срочно
Ответы
Автор ответа:
0
....................
Приложения:
Похожие вопросы
Предмет: Химия,
автор: НатТоп
Предмет: Математика,
автор: vitaskolette
Предмет: Русский язык,
автор: ыыыыыыыыыыыыы
Предмет: Математика,
автор: anti00001
Предмет: Математика,
автор: женя1033