Предмет: Информатика,
автор: Doxinf
СРОЧНО!!!! написать пример на языке паскаля
Приложения:
Ответы
Автор ответа:
1
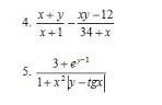
4) (x+y)/(x+1)-(x*y-12)/(34+x)
5) (3+Power(e,y-1))/(1+x*x*Abs(y-sin(x)/cos(x)))
Doxinf:
как это в программу записать
чтобы это всё работало
Просто присваиваешь это переменной
вещественной естественно
и переменные y,x,e инициализируй
Ничего не понял, я брату помогаю 15 летнему, он на уроке и попросил меня вот это сделать, сам я не понимаю ничего в этом
Похожие вопросы
Предмет: Геометрия,
автор: stet
Предмет: Русский язык,
автор: dnoooo
Предмет: Физика,
автор: shinedown416
Предмет: Математика,
автор: cveta789
Предмет: Математика,
автор: medina20051